16 views
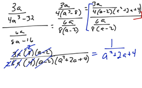
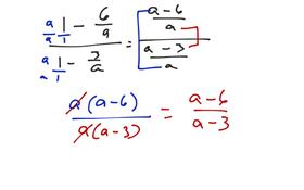
6.5.16 Complex Fractions With Factoring
by Gail Pigford
8 views
6.5.12 Complex Fractions With Two Fractions
6.6.10 Complex Fractions With Whole Numbers
12 views
6.5.8 Complex Fractions
7 views
6.6.7 Complex Fractions With Whole Numbers
23 views
6.5.6 Complex Fractions With Whole Numbers
6.5.2 Complex Fractions With Simple Fractions
4 views
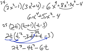
6.6.63 Solving Equations With Fractions
6.6.53 Solving Equations With Fractions
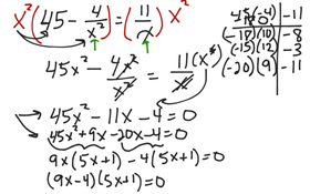
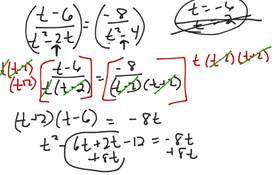
6.6.47 Solving Equations With More Complicated Fractions
6.6.45 Solving Equations With Fractions
10 views
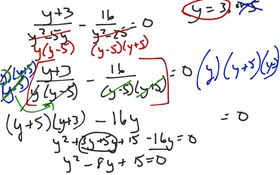
6.6.37 Solving Equations With Simple Fractions
11 views
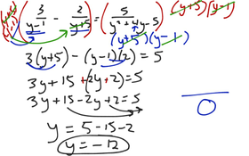
6.6.5 Solving Equations Simple Fractions
15 views
6.6.13 Solving Equations With Simple Fractions
0 views
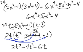
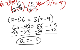
6.6.12 Solving Equations With Fractions
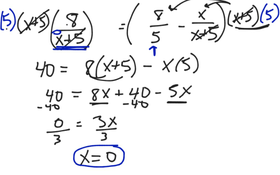
6.6.6 Solving Equations With Fractions
6.6.4 Solve Eqn That Has Fractions
Chapter Review 5: 14-25
5 views
Chapter Review 5: 1 -13
5.8 Solving Equations....More Examples
14 views
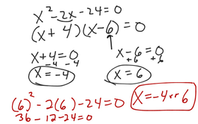
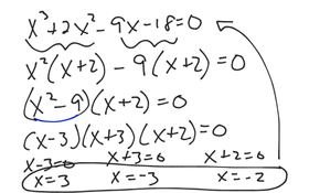
5.8 Solving Equations By Factoring
5.7 Factoring...General Strategy
19 views
5.6 Special Factoring....Difference And Sum Of Two Cubes.