26 views
8.2 Lesson ( Part 2) Quadratic Equation
by Gail Pigford
32 views
8.2 Lesson Part 2 The Quadratic Formula
38 views
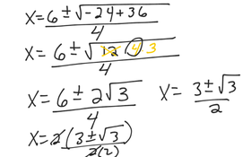
8.2 Lesson Part 1 Quadratic Formula
25 views
8.1 Lesson(part 4) Completing The Square
30 views
8.1 Lesson Part 3 Completing The Square
39 views
8.1 Lesson (part 2) Completing The Square
48 views
8.1 Lesson (part1) Completing The Square
1 view
7.5.79.87
17 views
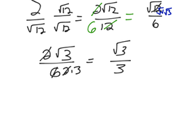
7.5.35.40.43.50.59
11 views
7.5.31
4 views
7.6.2
3 views
7.6.5
2 views
7.6.10
7.6.14
7.6.19
5 views
7.6.22
8 views
7.6.25
7.6.31
6 views
7.6.34 Solving For X With A 4th Root
7.6.41 Solving For X When There Is A Cube Root
7 views
7.6.43
7.6.49 Solving For X
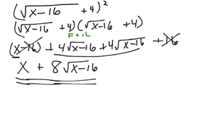
7.6.54 Solving For X With A Radical...twice
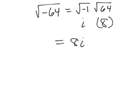
7.7.1 Square Root Of A Negative Number