0 views
7.2.55
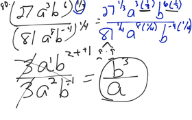
by Gail Pigford
12 views
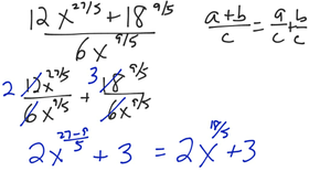
7.2.47
7 views
7.2.41
4 views
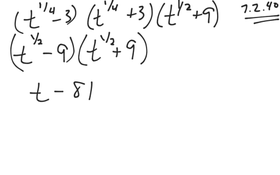
7.2.40
2 views
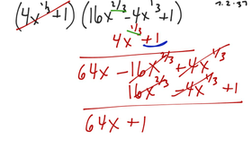
7.2.37
5 views
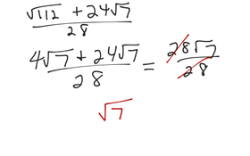
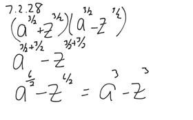
7.2.23.25.28
9 views
7.4.36
7.4.38
10 views
7.2.13 Function With Radicals
7.2.16.17.21
7.2.2.6
32 views
7.1.77.80 Rational Exponents
17 views
7.1.62.66.69 Rational Exponents
20 views
7.1.46.53.59 Rational Exponents
19 views
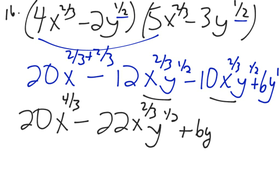
7.1.26.31.33.43.44 Rational Exponents
7.1.23.18 Rational Exponents
13 views
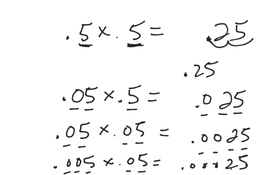
7.1.3.5.15 Rational Numbers
24 views
7.1 Lesson Part 2 Rational Exponents
29 views
7.1 Lesson Rational Exponents
22 views
7.2 Lesson Part 4 Rational Exponents
28 views
7.2 Lesson Part 3 Rational Expression
25 views
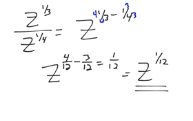
7.2 Lesson Part 2 Rational Expressions -division
35 views
7.2 Lesson Rational Exponents
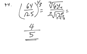
7.3 Lesson Part 4 Simplified Radicals