16 views
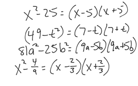
5.6 Special Factoring...Difference Of Two Squares
by Gail Pigford
12 views
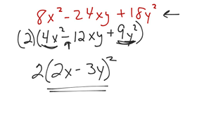
5.6 Special Factoring ...Perfect Square Trinomials
5.5 Factoring Trinomials...chart method
5.5 Factoring Trinomials Trial And Error Method
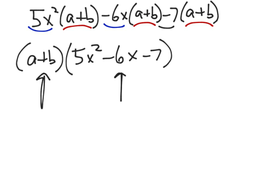
5.4 Factor By Grouping
13 views
5.4 Greatest Common Factor
15 views
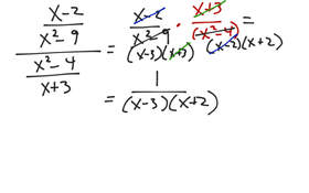
5.3 Multiplication Of Poly...Difference Of Two Squares
5.3 Multiplication Of Poly....square Of A Binomial
8 views
5.3 Multiplication Of Poly...vertical Method
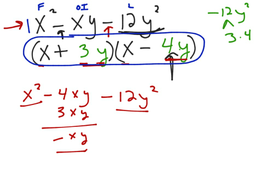
5.3 Lesson Multiplication Of Poly...foil Method
5.3 Lesson Multiplication Of Poly...monomial
24 views
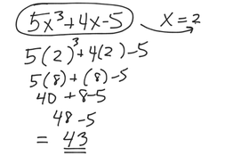
5.2 Polynomials, Adding And Subtracting
17 views
5.1 Lesson On Scientific Notation
39 views
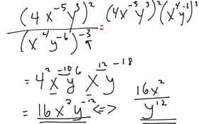
5.1 Lesson Properties Of Exponents
3 views
6.6 Lesson Part 4 Ex 7 And 8
4 views
6.6 Lesson Part 3
5 views
6.6 Lesson Part 2 Ex 3 And 4
6 views
6.6 Lesson Part 1 Ex 1 And 2 From Book
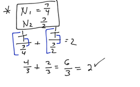
6.7 Lesson A Word problem Using Algebra
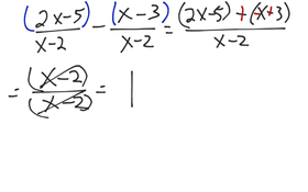
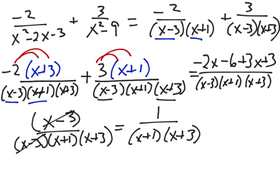
6.4 Lesson Part 2 Different Denominators
6.4 Lesson Part 1 Adding And Subtracting With Common Denominators
10 views
5.6 Lesson Ex1
11 views
6.5 Lesson Ex 2
6.5 Lesson Ex 3