5 views
6.1.101 Subtraction Of Polynomials
by Gail Pigford
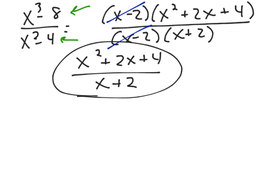
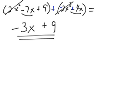
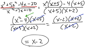
6.1.94 Reduce Expression
15 views
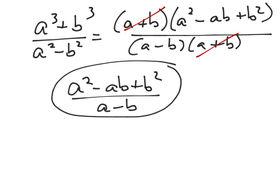
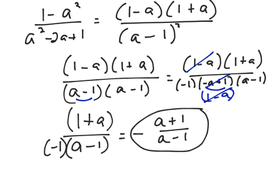
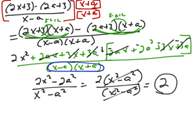
6.1.54 Simplify By Multiplying By The Conjugate
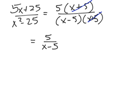
6.1.52 Reduce Rational Expression
12 views
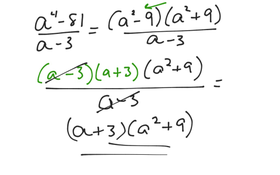
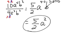
6.1.47 Reduce Rational Expression
6 views
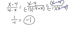
6.1.41 Reduce Rational Expression
Math 6.1.38 Reduce Rational Expression
10 views
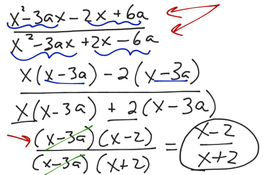
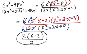
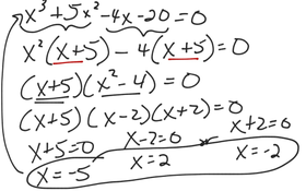
6.1.36 Reduce Rational Expression By Factor By Grouping
16 views
6.1.30 Reduce Rational Expression
6.1.27 Reduce Rational Expression
9 views
6.1.24 Reduce Rational Expression
6.1.21 Reduce Rational Expression
6.1.18 Reduce Rational Expression
2 views
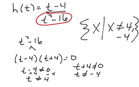
6.1.7 State The Domain Of The Rational Function
6.1.5 State The Domain Of The Rational Function
30 views
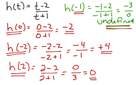
6.1.4 Function Notation Of A Rational Expression
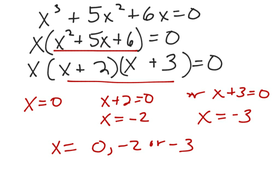
Math 130 5.8.32
7 views
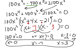
Math 130 5.8.28
Math 130 5.8.24
Math 130 5.8.22
8 views
Math 130 5.8.16
Math 130 5.8.12
Math 130 5.8.4
Math 130 5.8.2