8 views
7.6 Lesson Part 2 Equations With Radicals
by Gail Pigford
7.6 Lesson Part 1 Equations With Radicals
22 views
7.5 Lesson Part 2
28 views
7.5 Lesson Part 1 Mult. Of Radical Expressions
6 views
7.3.70
2 views
7.3.93
4 views
7.3.85
11 views
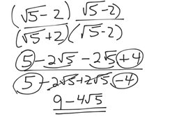
7.3.79
15 views
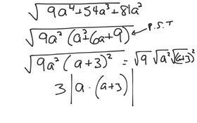
7.3.64
13 views
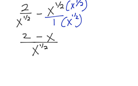
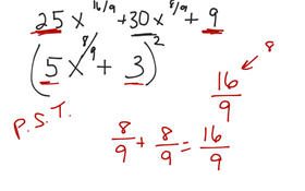
7.3.46.47
7.3.42
3 views
7.3.36
7.3.32
5 views
7.3.25
7 views
7.3.21
7.3.16
9 views
7.3.13
7.3.10
7.3.6
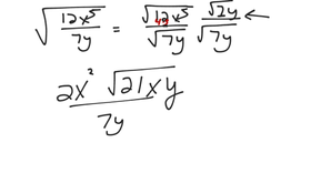
7.2.76
7.2.74
7.2.72
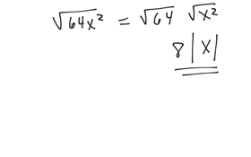
7.2.61
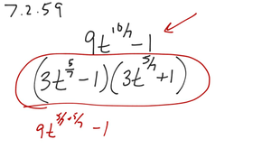
7.2.59