7 views
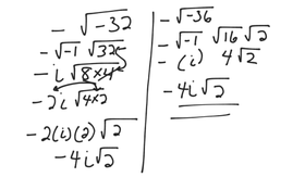
7.7.7 Negative Square Root Of A Negative Number
by Gail Pigford
10 views
7.7.16 Solve For X And Y With Imaginary Numbers
5 views
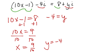
7.7.22 Solving For X And Y With Imaginary Terms
3 views
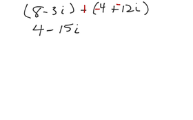
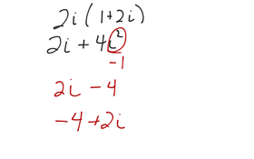
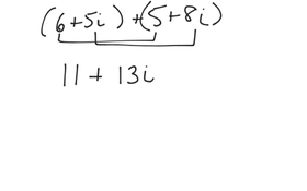
7.7.25 Adding Imaginary Numbers
1 view
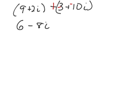
7.7.29 Subtracting Imaginary Numbers
0 views
7.7.32 Subtracting Imaginary Numbers
2 views
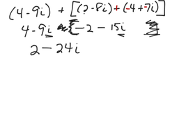
7.7.39 Adding And Subtracting Imaginary Numbers
4 views
7.7.42 Like Monomial Mult. By Binomial But With I
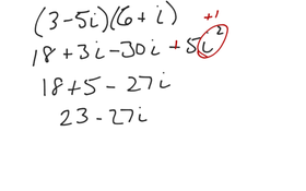
7.7.46 Foiling What Looks Like A Binomial But With I
7.7.50 Like A Binomial Cubed But With I
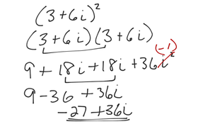
7.7.53 Like Binomial Squared But Using I
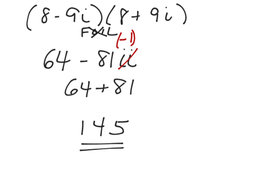
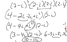
7.7.64 Complex Conjugate
15 views
7.5.14.22.24
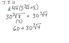
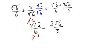
7.5.3.7.11
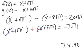
7.4.40
19 views
7.4.32.34.36
7.4.28
7.4.26
16 views
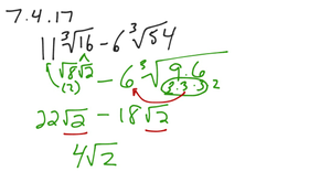
7.4.12.17
9 views
7.4.2.4.7.10
7.7 Lesson Part 3 Complex Numbers
7.7 Lesson Part 2 Complex Numbers
7.7 Lesson Part 1 Complex Numbers
8 views
7.6 Lesson Part 3 Cubed Equation With A Radical