5 views
6.5 Lesson Ex 4
by Gail Pigford
8 views
6.5 Lesson Ex 5
9 views
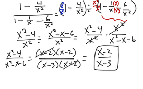
6.3 Part 3 Division Of Rational Expressions
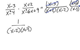
6.3 Lesson Part 2 Multiplication Of Rational Expressions
19 views
6.3 Lesson Part 1 Multiplication On Rational Expressions
3 views
Answers For Student Activity 22,23
12 views
6.2 Division Of Polynomial With Missing Term
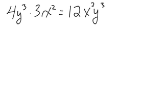
6.2.82 Multiplication Of Monomials
10 views
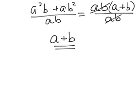
6.2.80 Reducing Fractions
6.2.46 Long Division Of Poly
18 views
6.2.39 Long Division Of Poly
0 views
6.2.39 Long Division
20 views
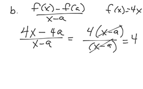
6.2.31 Evaluate The Function
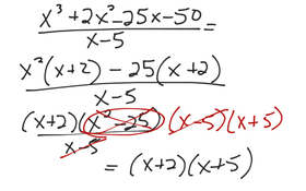
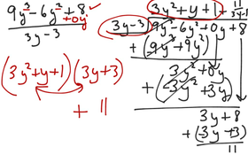
6.2.23 Division Of Poly By Group Factoring
7 views
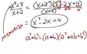
6.2.20 Division By Factoring Sum Of Two Cubes
6.2.16 Division Of Poly By Chart Method Factoring
6.2.13 Division Of Poly By Factoring
6.2.10 Division Of Poly By Factoring
17 views
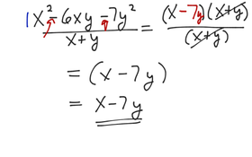
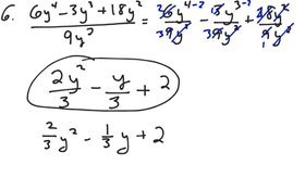
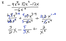
6.2.8 Division Of Poly By Monomial
22 views
6.2.6 Division Of Poly By Monomial
16 views
6.2 Long Division Of Polynomials
6.2 Long Division Of Polynomials No Missing Terms
23 views
6.2 Lesson Part 1 Division Of Poly Factoring
Lesson 6.1