17 views
7.3 Lesson Part 3 Simplification Of Radicals
by Gail Pigford
20 views
7.3 Lesson Part 2 Simplification Of Radicals
26 views
7.3 Lesson Part 1 Simplified Form Of Radicals
33 views
7.4 Lesson Addition And Subtraction Of Audial Expressions
1 view
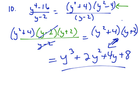
Chp Review 6.12
5 views
Chap Rev 6.34
2 views
Chapter Review 6.9-11
4 views
Chap Review 6.5-7
Chap Review 6.2-4
Chap Review 6.1
Chapter Review 5: 14-25
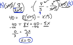
6.6.12 Solving Equations With Fractions
10 views
6.5.51 Complex Fractions
9 views
6.5.48 Complex Fractions
7 views
6.5.38 Complex Fractions With Complex Fractions
11 views
6.5.35 Complex Fractions With Complex Fractions Inside Them
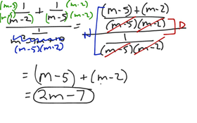
6.5.33 Complex Fraction
8 views
6.5.32 Complex Fractions
6 views
6.5.30 Complex Fractions
6.5.28 Complex Fraction
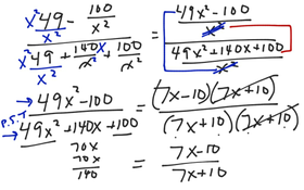
6.5.23 Complex Fractions With Lots Of Factoring
6.5.18 Complex Fractions With Special Factoring