316 views
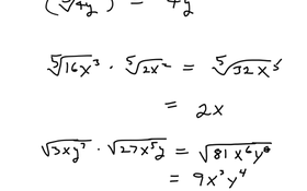
Mat 102 Sec 9.3 Multiply Radical Expressions Lesson Guide Obj 1 Problems #2
by Brenda Chapman
180 views
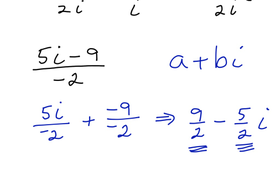
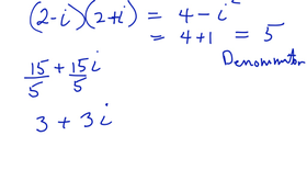
Sec 9.7 Dividing Complex Numbers Obj 2b Problem c and d
222 views
Mat 102 Sec 9.7 Dividing Complex Numbers
0 views
Mat 102 Sec 9.7 Complex Conjugate
199 views
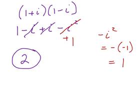
Mat 102 Sec 9.7 Multiplying Complex Numbers
227 views
Mat 102 Sec 9.7 Add Subtract Complex Numbers
215 views
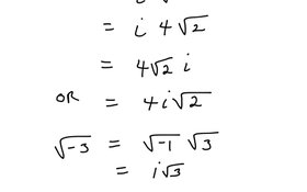
Mat 102 Sec 9.7 (1) Complex Numbers
170 views
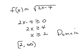
Mat 102 Sec 9.6 (2) Solving Radical Equations
254 views
Mat 102 Sec 9.6 (1) Solving Radical Equations
276 views
Mat 102 Sec 9.3 MML 21
257 views
Mat 102 Sec 9.4 MML 13
260 views
Mat 102 Unit 3 Rev Similar To 7b
303 views
Mat 102 Unit 3 Rev 3a
308 views
Mat 102 Sec 7.5 MML 15 Simplifying A Complex Fraction
267 views
Mat 120 Unit 2 Review 15 Find Unknown Lengths In Similar Figures
272 views
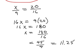
Mat 102 Unit 2 Review 11c Solving For The Unknown Number
311 views
Mat 102 Unit 2 Review 9e Solving A Rational Equation
Mat 102 Unit 2 Review 9b Solving A Rational Equation
295 views
Mat 102 Unit 2 Review 4a And 4b Add Subtract Rational Expressions
247 views
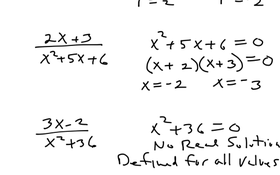
Mat 102 Sec 7.2 Dividing Rational Expressions
252 views
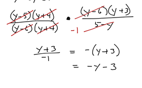
Mat 102 Sec 7.1 Negative One Technique
298 views
MAT 102 Sec 7.1 Finding Values That Make The Expression Undefined
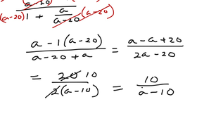
Mat 102 Sec 7.4 Negative One Technique
Mat 102 Sec 7.4