4 views
Mat 110 Exam Rev 2.2a
by Brenda Chapman
2 views
Math 110 Exam Rev 4.6
88 views
Mat 110 Exam Rev 2.7
3 views
Mat 110 Exam Rev 9.6
1 view
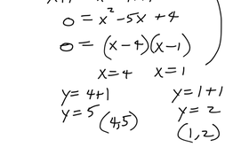
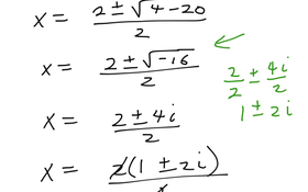
Mat 110 Test3 Solving A System Of Equations
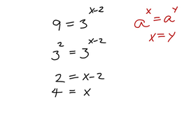
Mat 110 Test 3 Solving An Exponential Equation
0 views
Math 110 Test 3 Graphing An Inequality In Two Variables
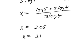
Mat 110 Test 3 Solving A Log Equation
Mat 110 Test 3 System Of Linear Equations
Mat 110 Test 3 No Solution System Of Linear Equations
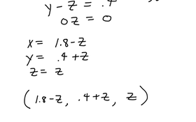
Mat 110 Test 3 Infinite Solution To System Of Linear Equations
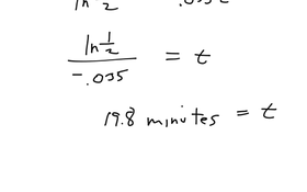
Mat 110 Test 3 Radioactive Decay And Half Life
Mat 102 Sec 7.6 MML20
Mat 102 Sec7.6 MML 19
Mat 102 Sec7.6 MML 18
Mat 110 Sec 3.3 MML 13
Mat 110 Sec 3.3 MML 6
77 views
Mat 110 Sec 2.7 MML 1
63 views
Mat 102 Ch 7 Rev 2b
78 views
Mat 102 Ch 7 Rev 1
56 views
Mat 102 Ch7 Rev 6b
64 views
Mat 102 Ch 7 Rev 5