132 views
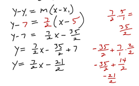
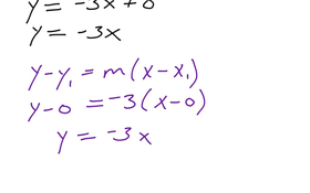
Mat 102 Sec 3.5 Writing equation of perpendicular line
by Brenda Chapman
430 views
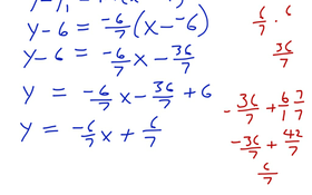
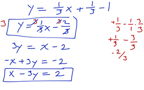
Mat 102 Sec 3.5 Writing equation of line using slope intercept form
369 views
Math 102 Sec 3.5 Writing Equations Of Lines
570 views
Mat 102 Sec 3.5 Writing Equations Of Lines (2)
4 views
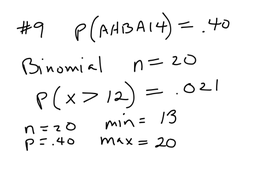
Math120 Sample Size
2 views
Math120 Hypothesis Test Mean
0 views
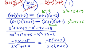
Math 102 Solving Rational Equations
10 views
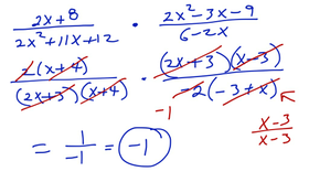
Math 102 Multiplying Rational Expressions Negative One Technique
11 views
Math 102 Simplifying Complex Fractions
Math 102 Solving A Rational Equation
6 views
Math 110 Vertical And Horizontal Asymptotes Transformation Of The Reciprocal Function
3 views
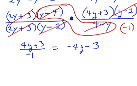
Math102 Add Rational Expressions Negative One Technique
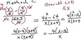
Math102 Simplifying Complex Fractions Method 2
Math102 Simplifying Complex Fractions
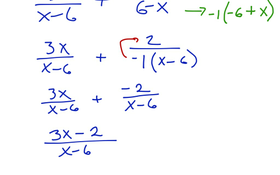
Math 102 Subtracting Rational Expressions
Math 102 Add/sub Rational Expressions
5 views
Math 102 Add/sub Fractions With Common Denominator
Math 102 Dividing Rational Expressions
Math 102 Negative One Technique In Reducing A Rational Expression
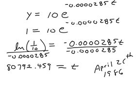
Math110 Exponential Growth And Decay Problems
Math 110 Unit 3 Review
17 views
Math 102 Multiplying -simplifying Rational Expressions
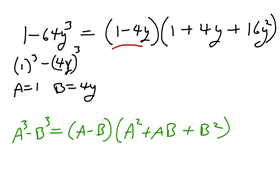
Math 102 Sum Diff Cubes - Diff Squares
Math 120 Unit 3 Review Part 2