12 views
Math 120 Unit 3 Review
by Brenda Chapman
6 views
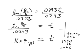
Math 110 Population Growth
3 views
Math 110 Compound Continuous Interest Problems
2 views
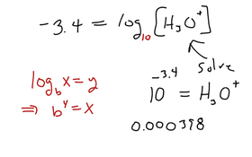
Math 110 Solving Exponential And Logarithm Equations
0 views
Math 102 Solving Polynomial Equations
Math 102 Factoring The Difference Of Squares And Sum/difference Of Cubes
Math 102 Zero Exponent Rule
Math 110 Sec 4.5
5 views
Math 110 Sec 4.4
Math 110 Properties Of Logarithms
212 views
Math 102 Writing Equations Of Parallel And Perpendicular Lines
10 views
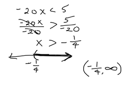
Math 102 Solving A Linear Inequality
13 views
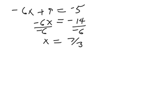
Math 102 Solving A Linear Equation Containing Fractions
Math 102 Absolute Value Equation
Math 102 Domain Of A Rational Function
14 views
Math 102 Absolute Value Equations, Inequalities
Math 102 Domain And Range
17 views
7 views
Math 110 Unit 2 Review #7
1 view
Math 110 Unit 2 Review #11