128 views
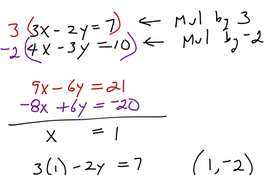
Mat 102 Sec 4.3 Solving System Using Elimination
by Brenda Chapman
142 views
183 views
158 views
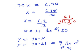
Mat 102 Sec 4.2 Applications
149 views
176 views
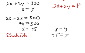
Mat 102 Sec 4.2 Solving System Using Substitution
156 views
Mat 102 Sec4.2 Solving System Using Substitution
213 views
154 views
163 views
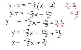
Mat 102 Sec 3.5 MML HW 19 Writing Equations Of Perpendicular Lines
297 views
Mat 102 Sec 3.5 MML HW 5 Writing Equation Of Lines Involving Fractions
0 views
Mat 102 Sec 3.6 MML HW 19 Writing Equations Of Perpendicular Lines
433 views
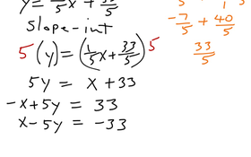
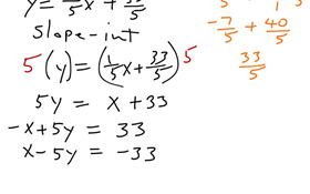
Mat 102 Sec 3.5 Writing Equation In Standard Form
443 views
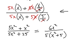
MAT 102 Sec 7.5 Simplifyimh Complex Fractions Ex1
391 views
MAT 102 Sec 7.6 Solving Rational Equations Ex 1
370 views
MAT 102 Sec 7.5 Simplifying Complex Fractions Ex 2
291 views
MAT 102 Sec 7.5 Simplifying Complex Fractions Ex 3
271 views
MAT 102 Sec 7.4 Adding Rational Expressions Ex 1
386 views
MAT 102 Sec 7.2 Multiplying Rational Expressions Ex 1
331 views
MAT 102 Sec 7.1 Simplifying A Rational Expression (2)
445 views
MAT 102 Sec 7.1 Simplifying Rational Expressions Ex 1
Mat102 Rev1 14f
Math102 Rev1 16
152 views
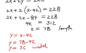
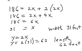
Math 102 Sec 4.2. Finding Length And Width Given Perimeter