5 views
Mat 102 Exam Rev 102
by Brenda Chapman
51 views
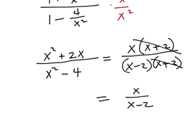
Mat 102 Exam Rev 30
54 views
Mat 102 Exam Rev 23
34 views
Mat 102 Exam Rev 25
72 views
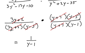
Mat 102 Exam Rev 40
50 views
Mat 102 Exam Rev 26
Mat 102 Exam Rev 17-19
57 views
Mat 102 Exam Rev 12-15
61 views
Mat 102 Exam Rev 11
65 views
Mat 102 Exam Rev 6
172 views
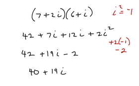
Mat 102 Sec 9.7 Multiplying Complex Numbers
152 views
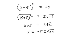
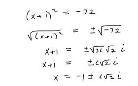
Mat 102 Sec 10.1 Square Root Method
123 views
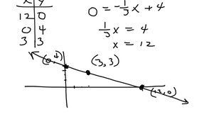
Mat 102 Chapter 10 Word Problem
156 views
Mat 102 Sec 10.4 Graphing A Quadratic Function
136 views
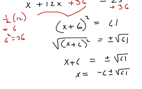
Mat 102 Sec 10.1 Completing The Square
204 views
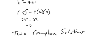
Mat 102 Discriminant
Mat 102 Sec 10.3 Graphing Quadratic Functions
267 views
Mat 102 Sec 9.5 Rationalizing A Denominator With A Single Radical
197 views
Mat 102 Sec 9.1 Radical Expressions And Functions
199 views
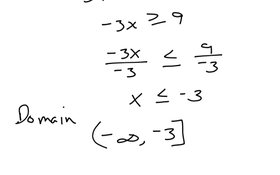
Mat 102 Sec 8.1 Double Inequalities
59 views
Mat 102 Exam Rev 33
58 views
Mat 102 Exam Rev 36
25 views
Mat 102 Exam Rev 93
15 views
Mat 102 Exam Rev 89