0 views
Mat 102 Sec 7.4
by Brenda Chapman
289 views
Mat 102 Unit 1 Review #11a Sec 4.1 Solving A System Of Linear Equation Graphically
449 views
Mat 102 Sec 3.6 Determine Domain And Range From A Graph
286 views
Mat 102 Unit 1 Review #8a Sec 3.6 Finding Function Values From A Graph
305 views
Math 102 Sec 3.6 Review #10a Graphing A Linear Function
202 views
Mat 102 Sec 3.5 MML 19
233 views
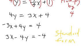
Math 102 Writing Equation Of Parallel Lines
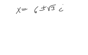
Mat 102 Sec 10.1 Completing The Square
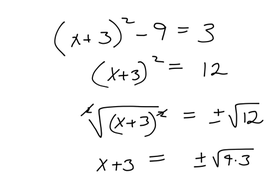
Mat 102 Sec 10.1 Solving Quadratic Equations Square Root Method
178 views
Math 102 Sec 8.2 Domain And Range Of Absolute Value Functions
211 views
Math 102 Sec 8.2 MML #14 Graphing An Absolute Value Function
5 views
Math 102 Sec 8.2 MML #14 Graph Of Absolute Value Function
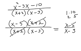
Mat 102 MML Sec 7.5 #7
220 views
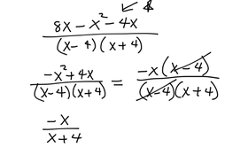
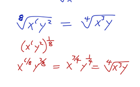
MAT 102 MML Sec 7.4 #18 (2)
231 views
MAT 102 MML HW Sec 7.4 #18
Math 120 Sec 5.2 Beagle
Mat 102 Sec 9.1
Mat 02 Sec 9.2
Mat 102 Sec9.5
Math 120 Hypothesis Test For Large Mean Department Of Agriculture Example Page 380
307 views
Math 102 MML Section 3.5 #10
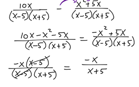
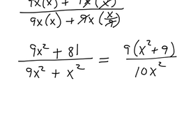
Mat 102 Sec 7.4 Adding Subtracting Fractions
116 views
Mat 102 Sec 4.3 Solving Applications Using Elimination
135 views
Mat 102 Sec 4.3 Solving System Using Elimination