0 views
Mat 102 Sec 3.6 MML #12
by Brenda Chapman
7 views
Mat 120 Sec 1.3 Population Vs Sample
224 views
Mat102 Sec9.4 MML #17 Multiplication Of Cube Roots
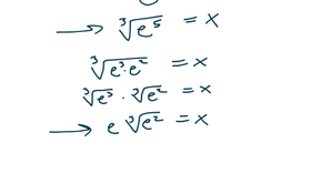
Mat 102 Sec 4.6 Solving A Logarithmic Equation
Mat 110 Sec 3.1 MML #8
Mat 110 Sec 3.3 MML #3
Mat 110 Sec3.1
148 views
Mat 110 Sec 2.2 MML #5 Writing The Equation Of A Circle Given The Graph
89 views
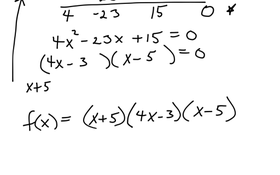
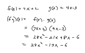
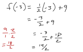
Mat 110 Sec 2.8 MML #5 Finding (fg)(x)
64 views
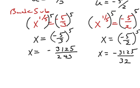
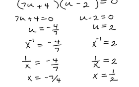
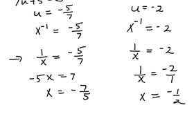
Mat 110 Sec 1.6 MML #8 Solving Equations Using U Substitution
57 views
Math110 Sec 1.6 MML #6 Solving An Equation With Rational Exponents Using U Substitution
21 views
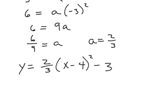
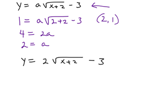
Math 110 Sec 2.7 MML #17 Writing Equations Of Functions Given The Graph
Math 110 Sec 2.7 Even Odd Functions
116 views
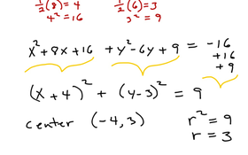
Mat 110 Sec 2.2 Writing Equations In Center-radius Form By Completing The Square
142 views
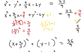
Mat 110 Sec 2.2 Writing equations of circles given general form and converting to center raius form by completing the square.
17 views
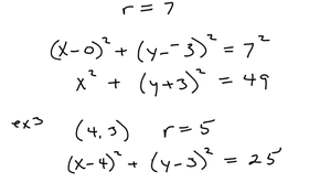
Mat 110 Sec 2.2 Writing Equations Of Circles given center and radius
34 views
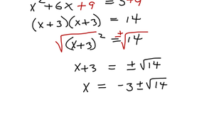
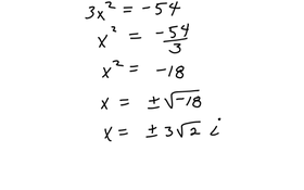
Mat 110 Sec 1.6 Solving Equations that are Quadratic Type
138 views
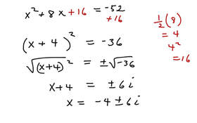
Mat 102 Sec 10.1 Completing The Square
146 views
Mat 102 Sec 10.1 Completing The Square Obj 2 problem b
185 views
Mat 102 Completing the Square Lesson Guide Obj 2 problem # 1a
160 views
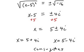
Mat 102 Sec 10.1 Square Root Method Lesson Guide Obj 1 #4 a,b
187 views
Sec 10.1 Square Root Method Lesson Guide #2 and #3
196 views
Mat 102 Solving Quadratic Equations Intro