11 views
Precalc 11.7 Exponential Regression
by Andrew Friedlieb
3 views
AP Stats 4.2 Other Ways For Randomization
17 views
Precalc 11.6 Natural Logarithm
2 views
AP Stats 4.2 3 Principles Of Experimentation
AP Stats 4.2 Intro To Experiments
18 views
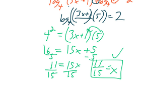
Precalc 11-5 Common Logarithms
AP Stats 4.1 Biased Results
AP Stats4.1 Designing Probability Samples
6 views
4-1a Biased Samples
Precalc 11-4 Logarithm
0 views
Precalc 11.3 The Number e
AP Stats 4.3 Establishing Causation
Simpson's Paradox
5 views
AP Stats 1.1 Conditional And Marginal Distributions
11-2 Exponential Functions
12 views
Precalc 11-1 Real Exponents
AP Stats 3.2 Lurking Variable
4 views
AP Stats 3.2 Influential Points And Outliers
AP Stats 3.2 R Squared
1 view
AP Stats 3.1 Facts About Correlation
7 views
Precalc Chap 11a Review
22 views
Precalc 6-1-4 Precalc Review 6-10
19 views
Precalc 6-1-4 Practice Quiz 1-5
10 views
Precalc 6.3 Cos Graph