18 views
Precalc 13.1 Combinations And permutations
by Andrew Friedlieb
12 views
Precalc Counting Principle
0 views
Sub Video 4-9 Period 1 And 5
4-9 Sub Plans Per 3 And 4
AP Stat 10.1 2 Sample Proportion Confidence Intervals
Period 1 Sub Video 3-30 Precalc
AP stat 10.2 Calc And Conclusions Of 2 Sample Tests
3/27 Sub Video Periods 1,5 Precalc
3/27 Sub Video Period 8 Statistics
1 view
AP stat 10.1 2sample Set Up
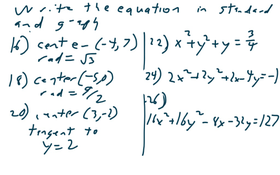
Precalc 4-8 Polynomials Regression
23 views
AP Stat 9.2 Sample Proportion Test
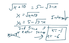
Precalc 4-7 Radical Equations
AP stat 9.3 Paired T Test
Precalc 4.5 Finding Zeros
2 views
Precalc 4-3 Remainder Thm
Precalc 4-2 Solving Quadratic Equations
3 views
AP stat 9.2 Increase Power
5 views
AP stat 9.1 Type I And II Errors
AP stat 9.2 Hypothesis Testing Vs Confidence Intervals
AP stat 9.1 Z Hypothesis Testing
AP stat 9.1 Statistically Significant
AP stat 9.1 Finding P Values
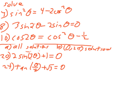
Precalc 7-5 Solving Trig Equations