1 view
AP stat 9.1 Intro To Hypothesis Testing
by Andrew Friedlieb
3 views
AP stat 8.3 Paired T confidence
74 views
AP stat 8.3 T Confidence Intervals
2 views
AP stat 8.1 Confidence Intervals 4 Steps
4 views
AP stat 7-3 Central Limit theorem
AP stat 7-3 Intro To Mean Sample Distribution
AP stat 7-2 Proportion Sample Distribution
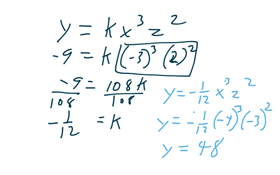
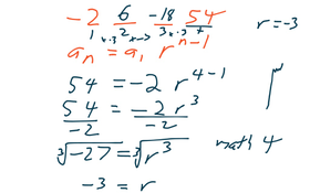
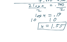
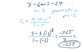
Precalc Regular Review 28-38
Honors Review 28-31
Honors Review 21-27
0 views
Honors 16-20
56 views
Precalc Review Video 42-46
44 views
Precalc Review Video 27-29 And 39-41
30 views
Precalculus Review 15-19 Semester 2
Precalc Review Numbers 22-26
Precalc Review 15-21
95 views
Precalc Review Semester 2 8-14
78 views
Review Video Precalc Sem 2 1-7
AP stat 7.1 Intro To Sample Distributions
Precalc 6-4 Amplitude And Period
5 views
AP stat 6.3 Geometric Distribution Mean Variance
AP stat 6.3 Intro To Geometric Distribution
6 views
AP stat 6.3 Binomial Mean And Standard Deviation
AP stat 6.3 Binomial Probabilities Pdf And Cdf