47 views
Precalc 1.7 piecewise/absolute value graphs
by Andrew Friedlieb
35 views
AP stats 2.2 percentages in Normal distributions
50 views
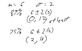
AP stats 2.2 normal distribution 68-95-99.7
44 views
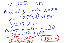
Precalc 1.6 precalc best fit lines
51 views
AP stat 2.2 Intro to density curve
26 views
AP stat 2.2 percentile and Chebeshev's inequality
59 views
Precalc 1.5 parallel and perpendicular lines
30 views
AP stat 2.1 z scores
43 views
Precalc 1-1 through 1-4 review chapter 1 part 2
70 views
precalc 1-1 through 1-4 review chapter 1 part 1
34 views
AP stats 2.1b Linear transformations of data stats
36 views
AP stat 1.2 standard deviation
AP stat 1.3 quartiles and 5 number summary
39 views
1.3 ap stat mean and median
AP stat 2.1 relative and cumulative graphs
45 views
1.2b Histograms For Statistics
54 views
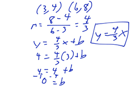
Precalc 1.4 Writing Equations Of Lines
33 views
Precalc 1.3 Graphing Lines
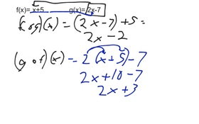
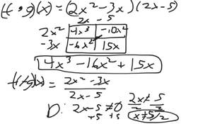
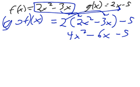
Precalc 2.6 Part 2 Composition Of Functions
49 views
Precalc 2.6 Composition Of Functions Part 1
97 views
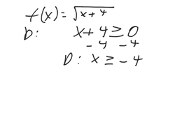
Precalc 1.1 Relations And Functions
AP Stat 1.1 Graphing Categorical Data
32 views
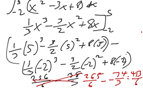
Precalc Review Final 45-48
429 views
2012 Ap Stat #4