180 views
2012 Ap Stat #5
by Andrew Friedlieb
311 views
2012 Ap Stat #6
375 views
Ap Stat 2012 #3
371 views
2012 Ap Stat 2
955 views
2012 Ap Stat 1, part a nonlinear
64 views
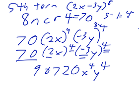
Precalc 12.6 Day 2 Binomial Theorem Pre Calc
69 views
Precalc 12.5 Sigma Notation
44 views
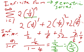
Precalc 12.3 Infinite Geometric Series
50 views
12.3 Day 1b Alternating Series
48 views
Precalc 12.3 Infinite Sequences And Series
46 views
Precalc 12.2 Geometric Sequences And Series
53 views
Precalc 12.2 Geometric Sequences
47 views
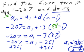
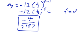
Precalc 12.1 Arithmetic Series
Precalc 12.1 Arithmetic Sequences
52 views
Precalc 10.3 Ellipses Graph
37 views
Precalc Ellipses 10.3 Day 2
38 views
Precalc 10.4 Hyperbolas Day 1
42 views
Precalc 10.4 Hyperbolas Day 2
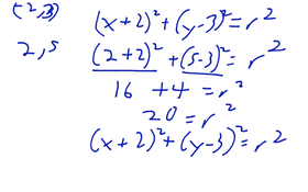
Precalc 10.2 Circles last r^2 should be 20
39 views
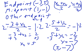
Precalc 10.1 Distance Midpoint And Slope
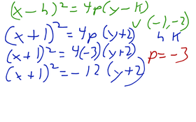
Precalc 10.5 Day 2 Parabola Equations
45 views
AP stats 11.2 Chi Squared Test Of Independence
24 views
AP stats 11.2 Chi Squared
23 views
AP stats 11.1 Chi Squared Part 2