7 views
AP stat 8.1 Binomial Probabilities
by Andrew Friedlieb
4 views
AP stat 6.3 Binomial Situations
0 views
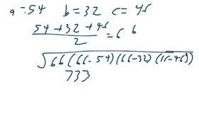
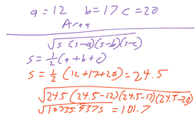
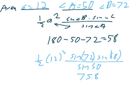
Precalc 5-8 Law Of Cosines Extra Examples
8 views
AP stat 6.2 Means And Variances Of 2 Distributions
3 views
AP stat 5.1 Law Of Large Numbers
Precalc 5-8 Law Of Cosines Notes
2 views
Precalc 5-7 Law Of Sines Notes
9 views
AP stat 6.1 Mean And Standard Deviation Of Discrete
5 views
AP stat 6.1 Stats Continuous Random Variables
Precalc 5.6 Additional Problems
Precalc 5.6 Actual Notes
1 view
AP stat 6-1 Discrete Random Variables
Precalc 5-5 Finding Angles Of Right Example 1
Precalc 5.5 Solving Right Triangles
AP stat 5-3 More Mult And Bayes Rule
AP stat 5.2 Union Probabilities
6 views
Precalc 5.4 Solving For Sides In Right Triangles
AP stat 5.2 Probability Rules Independent Events
AP stat 5.2 Basic Probability Rules
13 views
AP stat 5.2 Probability Models
AP stat 5.2 Probability Language
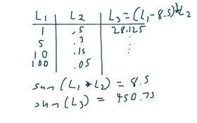
AP stat 5.1 Simulation Calculator
AP stat 5.1 Simulations
81 views
Precalc 5-1 Angle And Degree Measures