7 views
Precalc Ch11 Part 2 Review
by Andrew Friedlieb
11 views
Precalc 3-5day2 Cont And End Behavior
1 view
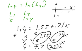
AP stat 12.2 Power Regression Example
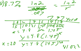
AP stat 12.2 Exponential Regression In Stat
22 views
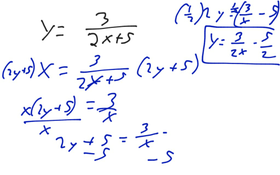
Precalc 3-4 Inverses
16 views
Precalc 3.3 solving absolute value inequals
13 views
Precalc 3.3 graphing inequalities nonlinear
29 views
precalc 2-5 transformations of graphs
44 views
precalc 3.1 symmetry in graphs
12 views
precalc review part 2
Precalc Ch2 Rev Pt 1
Ap Stat 3.2 Residuals
9 views
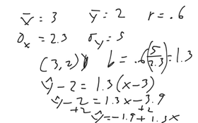
AP stat 3.2 least square regression line
53 views
Precalc 2.7 linear programming
5 views
AP 3.2 stats meaning of lines
14 views
Precalc 2.6 System Of Inequalities
2 views
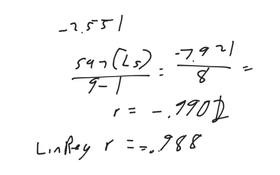
AP Stat 3.1 find correlation using a table
28 views
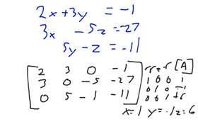
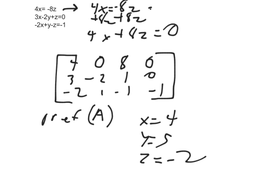
Precalc 2.2 solving systems with matrices on calc
58 views
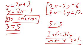
Precalc 2-1 systems of 2 equations precalc
35 views
AP stat 3.1 intro to scatterplots
68 views
precalc 1.5-1.8 review part 2
38 views
Precalc 1-5 1-8 ch1 review parallel/ perpendicular
33 views
Precalc 1.8 graphing inequalities
43 views
AP stats 2.2 testing Normality of TI 84