2 views
Yellow Quadratic Intro
by Vic Chouchanian
4 views
Blue Test Review
Red Pythagorean Theorem
3 views
Yellow Test Prep.
Red Irrational And Radicals
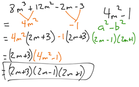
Yellow 4-9 Factoring By Grouping
9 views
Yellow Ax Factoring
Yellow Factor X2 +bx+c
Blue Sa And La
7 views
Red Area And Circ Of A Circle 8-5
Yellow Polynomial Multiplication 8-3
Red Triangles
Yellow Poly Factor
Yellow 8-1 Polynomial
Blue 8-1 Solids
0 views
Growth And Decay
Red 3-12 Circles
Yellow 3-12 Exp. Function
Yellow 3-11 Rational Exponents
Red 3-11 Congruent Polygons
Blue 4-6 Circles
Polygons And Quad 3-6
Yellow Exponents Intro 3-5
6 views
Yellow Exponents 3-5