1 view
1-10 Blue Estimating Percentage
by Vic Chouchanian
3 views
1-9 Slope
0 views
1-9 Percents
1-8 Ratios
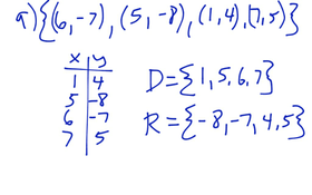
Yellow. 12-4. Domain Range
Red. Inequalities Add Sub
Red Mult And Div Inequalities
4 views
Red 12-3 Inequalities.
Red 11-30 Two Step Equations
Yellow 11-28 Continuous Functions
Red Add Sub Equations 11-28
Blue. Scale Models 11-28
Yellow 11-28 Non Linear
Red. 11-27 Equations
Yellow Functions 11-27
2 views
Graph Two Quantities Yellow 11-26
Variables And Expressions Red 11/26
5 views
Similar Polygons 11/26 Blue
Yellow 11-14 Set Unions
11-14. Proportions
Yellow. 11-13. Sets
Yellow 11-8
Red Review. 11-8