3 views
Yellow 10-17 Ratio
by Vic Chouchanian
Red. Rational Numbers 10-17
Red Fractions And Decimals 10-16
Yellow 10-16 Formulas
0 views
Blue 10-16 Scientific Notation
4 views
Blue Exponents 10-15
5 views
Mixed Numbers 10-10
1 view
Yellow. Two Sided Equation 10-9
Red Fractions 10-9
Multi Step2 10-9
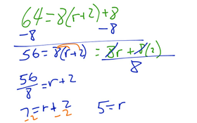
Blue. Formulas 2. 10-9
Yellow Multi Step Equations. 10-8
2 views
Blue. Formulas. 10-8
Yellow. Multi Step Equations 10-4
Blue 10-4 Dividing Fractions
7 views
Red. 10-3. Simplifying Fractions
Blue Adding Rational 10-3
Red 10-3 GCF LCM
Yellow 2 Step Equation 10-3
Red Exponent
Blue. Gcf. LCD.
Yellow Review
Blue. Test 1 review
Red Review Chapter 1