0 views
Blue 11-8
by Vic Chouchanian
2 views
Yellow 11-7. Abs Val Equations
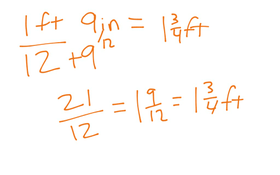
Red. Converting Units
1 view
Yellow. Compound Inequalities. 11-6
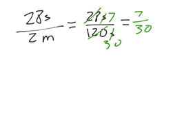
Blue. 11-5. Rates And Ratios
Yellow. Inequalities With Multiplication And Division
3 views
Red 10-31. Flip It And Multiply
Yellow Inequalities 10-30
Yellow. 10-31. Inequalities
Blue 10-29-12 Coordinate Plane
Yellow 10-25. Review.
Blue 10-25. Review
Red Review. 10-24
4 views
Blue 10-24 Pythagorean
5 views
Red 10-24 Mixed Numbers
Percent Change 10-24 Yellow
Red 10-23 Adding And Subtracting Fractions
Yellow 10-23 %
Blue. 10-22 Square Roots
Red 10-22 Benchmark
Yellow 10-18 Similar Shapes
7 views
Yellow 10-18. Proportions
Blue Division Rules
8 views
Red. 10-18 Scientific Notation