0 views
Blue 2 Sided
by Vic Chouchanian
2 views
Red Percent Prop 2-7
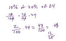
Red 2-5 Percents Of
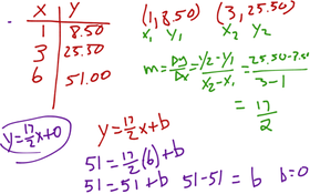
2-5 Yellow System By Graph
Blue Multistep
4 views
Yellow Chp 5 Test
1-31 Red Percent
1-30 Blue 2step Equations
1 view
Test Prep Yellow
3 views
1-30 Yellow Scatter Plot
5 views
Yellow 1-29 Abs Value Graph
7 views
1-28yellowparallelandperp
Yellow Standard Form
Blue Probability.
Blue Markup Discount Prt
6 views
Red Scale
8 views
Red Similar Shapes
Blue Review 5.1-5.4
Red Review 5.1-5.4
Yellow 5.1-5.4 Review
Yellow 1-11Slope Intercept Form
Red Proportion 1-15
Rate And Unit Rate Red 1-11
1-10 Proportions And Prevents