2 views
Yellow Set notation.
by Vic Chouchanian
0 views
Yellow. Sets
Green Review
Green Linear Equations
4 views
Red Unit Conversion
1 view
Green Coordinate Plane
Red Dividing Fractions
Yellow Ineq. Mult
8 views
Green Use Pythag
3 views
Red Multiply Mixed
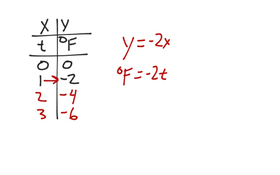
Linear Solutions
Yellow. Inequality Add
Green Pythagorean Them
5 views
Red Adding Mixed Numbers
Yellow Inequalities
Green Radicals
Red. Add Sub Fractions
Yellow Percents
Blue 2 Sided Equations
Yellow Similar Figure
Red. Scientific Notation
Green Exponents
Yellow Proportions
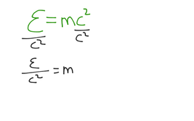
Green Formulas