18 views
Practice Test 2.4 – 2.7: Number 2
by David McMayer
17 views
Practice Test 2.4 – 2.7: Number 1
14 views
Section 2.5-2.6 Review: problem Number 1
12 views
Section 2.5-2.6 Review: problem Number 13
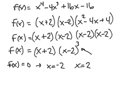
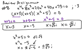
Section 2.5-2.6 Review: problem Number 8
10 views
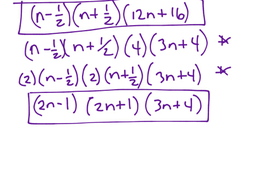
Section 2.5 And 2.6 Review: Problem Number 4
30 views
Section 2-6: problem Number 15
13 views
Section 2-6: problem Number 2
16 views
Section 2-5: Problem Number 55 Using Synthetic Division
Section 2-5: problem Number 55
23 views
Section 2-5: problem Number 45
32 views
Section 2-5: Problem Number 35
Section 2-4: Problem Number 53
22 views
Section 2-4: Problem 37 And Problem 41
Section 2-4: Problem Number 33
15 views
Section 2-4: Problem Number 13
Section 2-4: Problem Number 3
Section 2-3: Problem Number 109 And 110
21 views
Section 2-3: Problem Number 77
24 views
Section 2-3: Problem Number 57
Section 2-3: Problem Number 49
Section 2-3: Problem Number 41
38 views
Section 2-3: Problem Number 33
37 views
Section 2-3: Problem Number 17