48 views
Practice Test Problem Number 18
by David McMayer
50 views
Practice Test Problem Number 17
45 views
Practice Test Number 16
43 views
Practice Test Problem Number
49 views
Practice Test Problem Number 14
Practice Test Problem Number 13
Practice Test Problem Number 12
60 views
Practice Test Problem Number 11
Practice Test Problem Number 10
54 views
Practice Test Problem Number Nine
Practice Test Problem Number 8
44 views
Practice Test Problem Number 7
55 views
Practice Test Problem Number 6
63 views
Practice Test Problem Number 5
66 views
practice Test Problem Number 4
67 views
Practice Test Problem Number 3
78 views
Practice Test Problem Number 2
80 views
Chapter 5 Practice Test Problem Number 1
4 views
Section 5.5: Half Angle Formulas
21 views
Section 5.5: Double Angle Formulas
7 views
Section 5.4: Problem Number 37
12 views
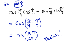
Section 5.4: Problem Number 29
14 views
Section 5.2: Problem Number 92
15 views
Section 5.2: Problem Number 81