22 views
Chapter 8 Practice Test: Problem Number 10
by David McMayer
28 views
Chapter 8 Practice Test: Problem Number Nine
44 views
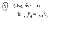
Chapter 8 Practice Test: Problem Number Eight
24 views
Chapter 8 Practice Test: Problem Number Seven
23 views
Chapter 8 Practice Test: Problem Number Six
Chapter 8 Practice Test: Problem Number Five
20 views
Chapter 8 Practice Test: Problem Number Four
18 views
Chapter 8 Practice Test: Problem Number Three
30 views
Chapter 8 Practice Test: Problem Number Two
Chapter 8 Practice Test: Problem Number One
Section 8.4: Problem Number Nine
11 views
Section 8.4: Problem Number Seven
6 views
Chapter 8 Practice Test: Problem Number 18
Chapter 8 Practice Test: Problem Number 3
15 views
Chapter 8 Practice Test: Problem Number 13
8 views
Section 8.3: Problem Number 87
9 views
Section 8.3: Problem Number 85
Section 8.3: Problem Number 49
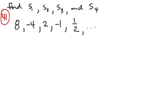
Section 8.3: Problem Number 41
7 views
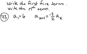
Section 8.3: Problem Number 23
Section 8.3: Problem Number 13 And 17
10 views
Section 7.8: Problem Number Seven
Practice Test: Problem Number 10
Practice Test: Problem Number Eight