19 views
Section 1-4: Problem Number 11
by David McMayer
18 views
Section 1-3: Problem Number 119
20 views
Section 1-3: Problem Number 111
3 views
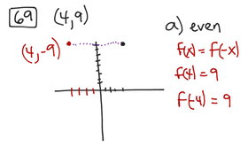
Section 1-3: Problem Number 69
6 views
Section 1-3: Problem Number 63
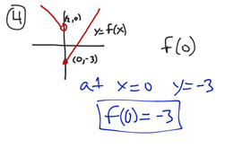
Section 1-3: Problem Number 53
8 views
Section 1 – 3: Problem Number 45
Section 1-3 Number 33
25 views
Section 1-3 Number 21
28 views
Section 1-3 Number 17
23 views
Section 1-3 Problem 4
31 views
Section 1-2 Problem Number 97
40 views
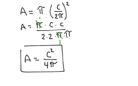
Section 1.2 Number 103
Section 1.2 Number 71
Section 1.2 problem Number 49
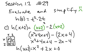
Section 1.2 #29
17 views
Section 1.2 #5 And #7
0 views
HL Math Ch 30 #10
55 views
Section 1.1 : problem numbers 91, 97, 113, and 116
HL Math Ch.1 Sec E #2h