17 views
Section 4.1: Problem Number Nine
by David McMayer
9 views
Practice Test: Problem Number 10
8 views
Practice Test: Problem Number 5
4 views
Section 3.5: Problem Number 63
5 views
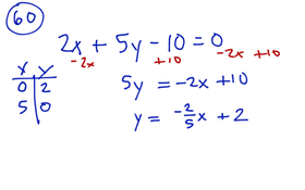
Section 3.5: Problem Number 60
Section 3.5: Problem Number 33
11 views
Section 3.5: Problem Number 31
10 views
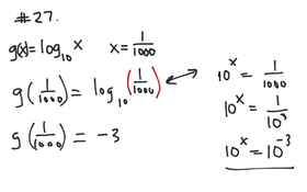
Section 3.5: Problem Number 27
Section 3.5: Problem Number 25
Section 3.4: Problem Number 123
Section 3.4: Problem Number 93
Section 3.4: Problem Number 69
6 views
Section 3.4: problem Number 45
Section 3.2: Problem Number 47
Section 3.2: Problem Number 53
Section 2.3: problem Number 27
12 views
Section 2.3: Problem Number 21
Section 2.3: Problem Number 13
Section 2.3: Problem Number 3
Practice Test 2.4 – 2.7: Problem Number 17
28 views
Practice Test 2.4 – 2.7: Problem Number Nine
15 views
Practice Test 2.4 – 2.7: Problem Number Eight
14 views
Practice Test 2.4 – 2.7: Number 13
Practice Test 2.4 – 2.7: Problem Number 12