27 views
Section 2-3: Problem Number 5
by David McMayer
11 views
Section 2-2: Problem Number 113
23 views
Section 2-2: Problem Number 73
24 views
Section 2-2: Problem Number 81
19 views
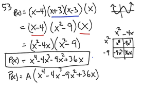
Section 2-2: Problem Number 53
Section 2-2: Problem Number 37
28 views
Section 2-2: Problem Number 29
22 views
Section 2-2: Problem Number 21
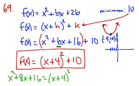
Section 2-1: Problem Number 69
Section 2-1: Problem Number 73
13 views
Section 2-1: Problem Number 65
25 views
Section 2-1: Problem Number 53
20 views
Section 2-1: Problem Number 5
8 views
Section 1-6: Problem Number 59
Section 1-6: Problem Number 29 and Problem Number 31
9 views
Section 1-6: Problem Number 17
Section 1.6: Problem Number 11
6 views
Section 1-5: Problem Number 60
Section 1-5: Problem Number 50
5 views
Section 1-5: Problem Number 37
16 views
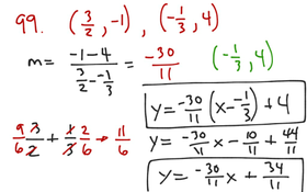
Section 1-5: Problem Number 99
7 views
Section 1-5: Problem Number 17
Section 1-5: Problem Number 9
Section 1-4: Problem Number 15 And A Bonus