2 views
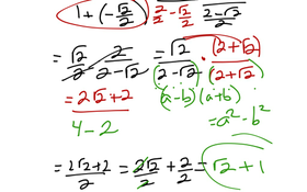
Trig 6.2 Law Of Cosines # 25.... Solve The Parallelogram
by Kim Carter
1 view
Trig 6.2 Explanation, # 7 Done As An Example
4 views
Trig 6.1 # 31
Trig 6.1 #33
Trig 6.1 # 29
3 views
Trig 6.1 # 15... One With No Solution
Trig 6.1 Quick Explanation Of The Law Of Sines And It's Ambiguous Case, No Examples
5 views
Trig 6.1 SSA #17, 25
Alg2 Circles From Comics Worksheet
Circles Eq. And Graphing, Includes Completing The Square
Algebra 1 Graphing Quadratics With Vertex And Axis Of Symmetry
Warmup Analyzing A Quadratic Graph
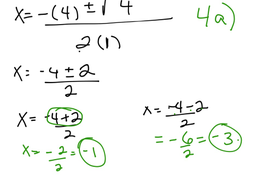
Alg1 Solving Using The Quadratic Formula
7 views
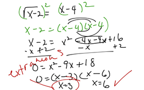
Alg 2 Test Corrections Ch 8
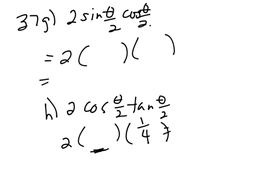
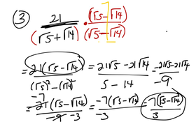
Trig 5.5 # 37
0 views
Prealgebra 8.28 Pracproblems #2,9; Problem Solving #2
Alg1 Quadratic Formula And Discriminant 13.8
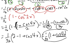
Trig 5.5 # 55
Trig 5.5 #45
Trig 5.5 #27....not Assigned, But Someone Asked For It
Alg2 Ch 8 Test Review# 1,3
Trig 8.5 #25
Trig 5.5 #9
Alg 2 Ch 8 Test Review All But 1,3,4