0 views
Pre-algebra Equations With Decimals 4.14
by Kim Carter
1 view
Equations With Fractions Pre -algebra
Harder One Step Equation Pre - Algebra
Quiz Study For One Step Equations
Pre-calculus 2.5 Explanation
Algebra 2 Vertex Form Of Quadratic a
2 views
Algebra 2 Section 5.2 Standard Form
Algebra 1 Harder One Step Eq
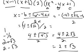
Pre-cal 2.3 #45
2.4 Pre-calculus
Algebra 1 Problem With X On Both Sides & #10
Pre-algebra 4.12 Solving With X On Both Sides
Pre_algebra Section 4.11 Solving Eq
4 views
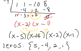
Algebra2 Test Corrections 4.1-4.10
Pre-calculus 2.4
Section 2.3 Pre-calculus
Linear Programming Handout Word Problem 27
Algebra2 Linear Programming Handout Word Problem 25
Algebra2 Section 4-11 Handout Problem 13
Algebra 1 Solving 2 Step Equations Ch 5 Lesson 3
Pre-algebra Section 4.11 Solving One And Two Step Equations
Algebra1 Solving One Step Equations Ch 5 Lesson 3
Pre-algebra Test Corrections For Test 4.1-4.10
Algebra2 Ch 4 Review Question P 169 #1d