1 view
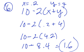
4.26 P 164 Problem Solving #6 Set Up(hW Problem)
by Kim Carter
0 views
Lesson 4.25 To4.27
9 views
Pre-calculus 3.2 # 47
3 views
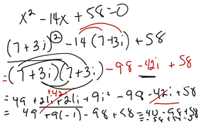
Algebra2 5.7#1
Graphing Log By Flipping X And Y
5 views
Pre-calculus3.2
4 views
Algebra2 5.6 Explanation With Calculator
2 views
5.4 And 5.5 Hwquestions In Class Algebra2
Study Video For Solving Eq Quiz
Pre-algebra 4.2o P 154 HW Questions
Pre-algebra 4.24 Subtracting Signed Numbers
11 views
Pre-calculus 3.1 Continued
16 views
Pre-Calculus 3.1
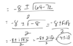
Algebra2 5.4 Imaginary Solutions
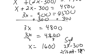
HW P210 6-7 Using Cups And Chips To Solve Eq
Pre-algebra Add And Subtract Signed Numbers Part 2
Pre-algebra 4.22 Adding And Subtracting Negative And Positive Numbers
Pre-algebra 4.19
Pre-algebra4.18 hW Questions
Algebra2 Section 5.4
Cups And Chips Number 4-6
41 views
Algebra 1 Cups And Chips With Manipulatives
Algebra 2 Test Corrections Test 5.2 And 5.3
PreAlgebra. Word Problems 4.16 Part 2