5 views
Algebra2 Review Hyperbolas #5 From Conics Review
by Kim Carter
2 views
Hyperbolas With X Axis The Transverse Axis
0 views
Prealgebra 8.23,8.24,8.20,8.21
6.4 Orthogonal Or Parallel Or Neither?
7 views
Trig 6.4 Find The Angle Between 2 Vectors Not In Standard Position Hw#17,23
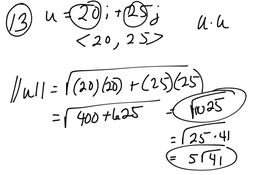
Trig 6.4 Finding The Magnitude Of A Vector Using Its Dot Product HW Problems #11,13
Trig 6.4 Finding A Dot Product, Using A Dot Product In Vector Operations #3,9
6 views
Trig 6.3 #83 Finding The Component Form Of A Vector Given Magnitude And Angle
Trig 6.3 Direction Angles In The Unit Circle # 65,63
4 views
Alg 2 9.3 #17
Pre-algebra Parade Practice Problem...circumference Of A Circle
Per algebra Composite Area
Trig 6.2 #17 Law Of Cosines..the Ambiguous Case Sneaks It
Alg 2 # 9 Section 9-4
Ellipses From The Quiz Perspective
Algebra 2 9.3 Ellipses # 15
Alg 2 Graphing An Ellipse Inequality 9.3 #7
Alg 2 Ellipses 6.3 #3
Perimeter And Area Of Composite Figures
Doubling Dimensions
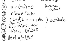
Trig 6.1 Properties Of Vector Addition And Scalar Multiplication
Trig 6.3 Vector Operations # 25
Trig 6.3 Component Form Of A Vector, Magnitude
3 views
Trig 6.1 #27