0 views
Solving With Inequalities
by Kim Carter
1 view
Solving Inequalities
Pythagorean Theorem Vs Distance Formula
Domain And Range, Independent Vs Dependent Variables
2 views
Is It A Function? Domain And Range?
Representing Relations, Domain, Range
Another Series Problem
More Series 11.4
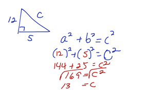
Pythagorean Theorem Practice
Matrix Determinants
Algebra 2 Probability Continued
SAT Probability review
Algebra 2 Ch 11 Section 2 Problem 43
Pre-algebra 9.1-9.2 Pythagorean Theorem
Algebra2 More Geometric And Arithmetic Sequences
3 views
11-2 Arithmetic And Geometric Sequences - Writing Equations
Per algebra Literal Equations
Surface Area Of Cylinder
System Of Quadratics
Parabolas Conics Style
Alg 1 Multiplying With Exponents, Power To A Power
5 views
Trig Test 6.1-6.4 Study Hints
7 views
Algebra 2 Parabolas From Worksheet- Conics Style
Alg 2 Parabolas In Conic Form