2 views
8.4 Problems Similar To Test
by Kim Carter
Trig 5.4 #71,75
4 views
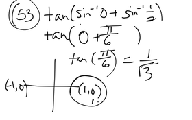
Trig 5.4 #21,53
6 views
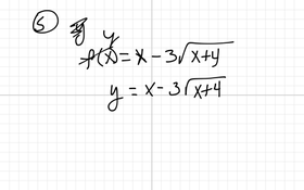
Algebra2 8.4 Solving Radical Equations
Algebra 2 8.3 Simplifying Radical Expressions Day 2
0 views
Algebra1 Multi-step Factoring Problems
Algebra1 Harder Trinomial Factoring More Examples
Trig 5.4 # 5,27,73
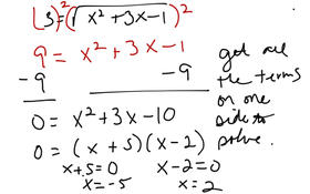
Algebra2 8.3 # 11,13, 35
7 views
Trig Quiz 5.3 Solutions To Use For Corrections: combined answer to last problem is 2pi-4"pi"n. May have wrong combined answer on that video.
1 view
Trig 5.3 #45
Trig 5.4 # 47,59
Algebra2 8.3 #21,23,3,19
Algebra2 8.3 1,5,15,30,37
Trig5.4 Sum And Difference Formulas
Alg 2 8.2
Alg 2 Radical Eq 8.1
Alg1 Factoring Harder Trinomials
Factoring Warmup Alg
5.3 # 67 Trig
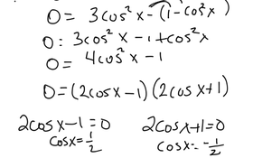
Trig Solving Trig Eq....don't Divide By A Trig Function
Vocab On Angles
22 views
Algebra 2 Section 7-11 Variation Functions
Algebra1 Factoring Trinomials