14 views
1.1 - Parent Functions and Transformations (Absolute Value)
by Adam Robb
18 views
2.4 - Recap (Mixtures), 2.3 - Elements and Compounds, Laws of Proportion
70 views
Law of Cosines (PCT 6.2, A2 Additional Info)
22 views
20.2 - Magnetic Forces - Part 1
69 views
8.5 - Recursive Formulas
46 views
14.4 - Part 2
62 views
14.4 - Hess's Law Calcs, Part 1
81 views
11.1 - Gases
3 views
More From 16.2
2 views
More From 8.2 - Types Of Chemical Reactions
56 views
More From 7.4 - VSEPR
98 views
7.5 - Electronegativity And Polarity
87 views
4.2 - Add, Subtract, And Multiply Polynomials
9 views
Higher Order Derivatives, The Chain Rule, And The General Power Rule
94 views
5.1 - Properties Of Exponents
91 views
Intro To 6.2 - Ionic Bonds
60 views
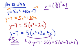
3.3 - Completing The Square
113 views
2.2 - Characteristics of Quadratic Functions (Quadratic Graphing & Foil Method)
105 views
A.5 - Inverse Matrices + A.4 Review
171 views
1.4 - Solving Linear Systems (3 EQ)
20 views
5.1 - Vectors
79 views
3.3 Examples & Notes
23 views
1.4 - Solving Systems Intro (2 EQ)
5 views
1.2 (Translated Abs Value) and 1.3 (Modeling) Examples