0 views
2.4 - Representing Data
by Adam Robb
8.4 - Differential Equations
77 views
14.1 - Energy
11 views
10.5 - Dependent And Independent Probability
5.1 - Extrema On An Interval
70 views
A2 - 6.5 - Properties Of Logs (PCT 3.3)
79 views
6.4 - Metallic Bonding
4.2 - Basic Derivative Rules
48 views
4.4 - Part 1 - Factor And Solve Polynomials
26 views
8.2 - Moment Of Inertia
30 views
1.3 - Writing Equations Of Lines/Modeling with Linear Functions
67 views
18.4 - Titrations And Buffers
58 views
3.5 - Solving Systems of Quadratic/Conic Equations
12 views
19.2 HW Help!
33 views
10.2 - Stoichiometric Calculations
22 views
5.5 - Remainder And Factor Theorems
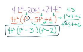
4.3 - Long And Synthetic Division of Polynomials
10 views
Chapter 1 REVIEW - Solving Linear Inequalities
27 views
TrigStar Help For 3rd Problem
1 view
8.4 - Mult And Divide Rational Expressions
17.1 - Interference And Diffraction
2 views
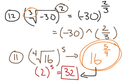
6.1 - Powers/roots Part 2
6.1 - Rational Exponents And Roots, Part 1
43 views
6.7 - Exp And Power Models