45 views
12.2 - Ideal Gas Law
by Adam Robb
0 views
5.9 - Writing Polynomial Models By Using Cubic Reg
67 views
4.8 - Analyzing Polynomial Graphs - Part 1
59 views
10.3 - Limiting And Excess Reactant Stoichiometry
2 views
7.2 - Graphing Exponential Decay
5 views
16.2 - Light As A Wave Part 1
9 views
More From 8.3 - Complete/net Ionic Equations
28 views
8.1 - Steps For Balancing Equations
6 views
11.2 - Collisions And Conservation
4.10 - Vertex Form, Intercept Form, And QuadReg
More from 10.2 - Other Forms Of Energy
134 views
4.1 - End Behavior And Graphing
71 views
7.1 - Covalent Bond Introduction
3 views
4.5, Solving Square Roots, Part 2
1 view
4.5, Square Roots, Part 1
33 views
9.1 - Impulse Momentum Theorem
35 views
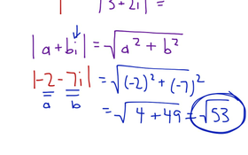
3.2 - Complex Numbers - Part 2
80 views
A.3 - Multiplying Matrices
39 views
A.2 - Basic Matrix Operations (Add/subtract/scalar Mult Matrices)
57 views
4.1 - The Particle Model of Light (part 2)
18 views
4.1 - Wave Model of Light (part 1)
5.1 - Light And Quantized Energy
25 views
3.3 (How Atoms Differ) Recap And 3.4 - Radiation
17 views
7.1 - Direct Variation (+ Classifying Triangles And Simplifying Radicals)