5 views
PCT - 3.4 - Solving Exponential And Logarithmic Equations
by Adam Robb
PCT - 7.2 - Applications Of 2-variable Systems
PCT - 7.5 - Applications Of Inequality Graphing
7 views
PCT 3.2 - Logarithmic Functions And Their Graphs
PCT 3.1 - Exponential Functions And Their Graphs
18 views
A.8 - Translating Conics - Part 2
124 views
2.3 Solving Equations With Multiplication And Division
0 views
A.8 - Translating Conics- Part 1
20 views
More On Factoring Polynomials - Circuit WS
3.2 - Complex Numbers - Part 1
11 views
Molecular Shapes Pre-lab
Conductivity And Chemical Bonding
48 views
7.2 - Naming Acids
41 views
7.2 - Intro To Covalent Naming
61 views
Mendeleev For A Day Pre-lab
30 views
5.2 - Classification Of The Elements By Block
19 views
5.5 - Finding Absolute Extrema
9 views
10.3 - Conservation Of Energy
3.3 Guided Notes, Part B
55 views
5.1 - Intro To The Periodic Table
14 views
PS 19.4 - Reaction Rates And Equilibrium
PS 19.1 - Chemical Changes
28 views
PS 16.2 - Masses Of Atoms
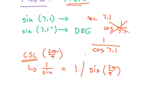
DMS, Using Period, Odd/Even Trig, And Calculator (PCT 4.1/4.2)