62 views
Simplifying Radical Expressions - 5.2 Part 1
by Adam Robb
0 views
Finishing The Food Lab
15 views
A2 5.1 - Nth Roots And Rational Exponents
10 views
9.2 - Mass And The Mole
Intro To PCT 4.2 - Intro To The Unit Circle
6 views
Energy Of Foods Lab Run-Through
8 views
PS 5.1 - Thermal Energy And Heat
9 views
Intro To Electromagnetic Waves - PS 11.1
26 views
Interference And More! - PS 9.3
Household Circuit Applications - PS 6.3
27 views
Electric Current - PS 6.2
20 views
Electric Charge - PS 6.1
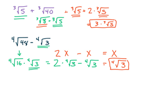
Simplifying Radicals
38 views
Classifying And Graphing Conics In Standard For
PS - Conservation Of Energy
4 views
3.6 - Quadratic Inequalities
29 views
PCT Limits Guided Notes - 1.15
PCT Limits Guided Notes - 1.5
PCT - 12.5 - The Area Problem, Part 1 - Summation And Area
PCT - Intro To Limits (12.1 A)
PCT - Tricks For Evaluating Limits (12.2 A)
Magnetic Forces On A Charged Particle
68 views
Calculating Ka
Geometric Sequences And Series