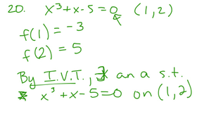
497 views
3.6 Notes P.1-2
by Mary Donovan
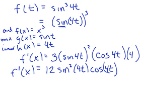
417 views
3.6 Examples From Last Page Of Notes
295 views
CALC 3.4 Notes Part 2
375 views
CALC 3.4 Notes Part 1
311 views
3.3 CALC Notes, Quotient Rule
319 views
3.3 CALC Notes, Product Rule
337 views
3.2 CALC Notes
48 views
Ch.2 Review Solutions Part 2
34 views
Factor, Reduce, Evaluate Review Ch. 2 Part 1
349 views
2.5 Notes CALC
317 views
2.4 Part 2
361 views
2.4 Part 1
430 views
2.3