0 views
AA2 3.4 Notes
by Mary Donovan
AA2 3.3
AA2 3.2
Adv Alg 2 3.1 Notes
2.7 Piece wise Functions
2.7 Absolute value graphs
Factoring Polynomials Part 1
Multiplying Polynomials
116 views
3.1 Applying Defn Of A Derivative
113 views
3.1 Intro
31 views
1.7 Absolute Value
35 views
AA2 1.6 Notes
59 views
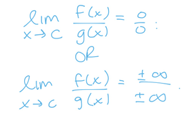
L'Hopitals Rule
254 views
3.7 Related Rates Introduction Notes
23 views
Review Of Synthetic Division
386 views
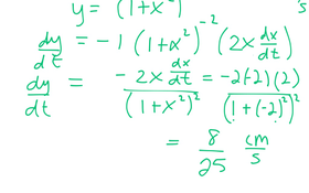
3.5 Implicit Differentiation
2 views
Ratios And Proportions Notes
Solving Equation Multi step
10 views
Add, Subtract, Multiply Square Roots
37 views
End Of 2.2 For Period H
236 views
6.1 Slope Fields
1 view
Lesson 3
8 views
H. Geo 10.2 Notes
252 views
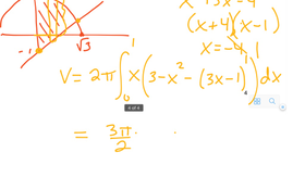
7.3 CALC Notes Shell Method