279 views
7.2 Volumes Of Solids With Known Cross Sections
by Mary Donovan
188 views
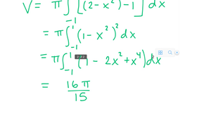
7.2 Washer Method Last Example
302 views
7.2 Disk Method CALC
187 views
6.3 Part 2
265 views
6.3 Part 1
238 views
6.2 Notes CALC Part 2
275 views
6.2 Part 1
10 views
7.5 Geo Notes
241 views
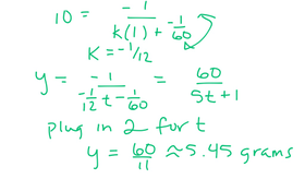
5.7 CALC Notes
48 views
5.6 CALC Notes
278 views
5.5 Notes Intro CALC
15 views
7.2 Notes Honors Geo
259 views
5.4 CALC Notes Part 3
282 views
5.4 CALC Notes Part 2
266 views
5.4 CALC Notes Part 1
267 views
5.3 Notes AP CALC
207 views
5.2 Notes Part 2 AP calc
233 views
5.2 Notes Ap CALC Part 1
184 views
4.7 CALC Notes Part 2
4.7 Video Calculus Part 1
305 views
4.4 CALC Notes
353 views
4.3 CALC Notes
385 views
CALC 4.2 Notes
416 views
4.1 Notes Calc